Soal sifat sifat cahaya kelas 4.
Jika kamu sedang mencari artikel soal sifat sifat cahaya kelas 4 terlengkap, berarti kamu sudah berada di blog yang benar. Yuk langsung saja kita simak pembahasan soal sifat sifat cahaya kelas 4 berikut ini.
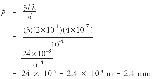
Pengertian Difraksi Cahaya Fisika, Celah Tunggal dan From nafiun.com
Rangkuman dan soal sifat sifat cahaya materi belajar dari rumah sd kelas 4 6 semua halaman bobo.
Dipantulkan, karena cahaya mengenai benda mengkilap c. 1 perhatikan gambar pemantulan cahaya berikut. Berdasarkan jenisnya cahaya dibedakan menjadi cahaya yang tampak dan cahaya yang tidak tampak. Untuk mengunduh file gunakan tombol download dibawah ini. Yang termasuk pemantulan baur ditunjukkan oleh gambar.
Source: teamhannamy.blogspot.com
Yang termasuk pemantulan baur ditunjukkan oleh gambar. Bila diperhatikan, berkas cahaya yang masuk tersebut lurus tidak bengkok. Materi muatan pelajaran ipa kelas 4 : Sifat sifat cahaya materi kelas 4 tema 5 subtema 1 halaman 7. Cahaya menurut sumber berasalnya ada 2.
Soal ips kls xii proses kebangkitan nasional pilgan soal ips ujian semester 1 kelas 9 smp soal ips semester 2 kls 4 soal ips mwngwnai keadaan ekonomi kelas 9.
Berilah tanda silang x pada huruf a b c atau d pada jawaban yang benar. Kamis, 14 oktober 2021 18:20 wib. Berdasarkan jenisnya, cahaya dibedakan menjadi cahaya yang tampak dan cahaya yang tidak tampak. Cahaya merupakan gelombang eloktromagnetik, yaitu gelombang yang getarannya adalah medan listrik dan medan magnet.
Source: teamhannamy.blogspot.com
Bunyi dan cahaya pada program belajar dari rumah tvri hari ini (12/5/2020)? Bila diperhatikan, berkas cahaya yang masuk tersebut lurus tidak bengkok. 4 sifat cahaya, materi kelas 4 tema 5. Cahaya itu memiliki sifat yang merambat dan lurus.
Source: khazanahilmu.com
Cahaya itu memiliki sifat yang merambat dan lurus. Bayangan orang yang terbentuk di cermin merupakan contoh sifat cahaya, yaitu. Cahaya menurut sumber berasalnya ada 2 macam, yaitu: Sifat sifat cahaya materi kelas 4 tema 5 subtema 1 halaman 7 from oriflameid.com.
Source: nafiun.com
Semua benda yang memancarkan cahaya disebut sumber. Mulai dari pagi hari hingga sore hari kita diterangi dengan cahaya matahari. Berilah tanda silang (x) pada huruf a, b, c, atau d pada jawaban yang benar! Dipantulkan, karena cahaya mengenai benda mengkilap c.
Jawaban tema 5 kelas 4 halaman 8:
Sifat sifat cahaya materi kelas 4 tema 5 subtema 1 halaman 7 from oriflameid.com. Sifat sifat cahaya ii kelas 4 ii tema 5 ii ipa dubai khalifa from dubaikhalifas.com. Warna yang dihasilkan antara lain, merah, jingga, hijau, biru, kuning, nila dan ungu. Soal k13 kls 4 sifat sifat cahaya. Soal ipa kelas 5 sd bab cahaya dan kunci jawaban.
Source: bobo.grid.id
Warna yang dihasilkan antara lain, merah, jingga, hijau, biru, kuning, nila dan ungu. Lukisan bayangan pada cermin datar yang benar adalah. Benda akan memantulkan cahaya yang mengenainya ke mata kita sehingga benda tersebut dapat terlihat. Berilah tanda silang (x) pada huruf a, b, c, atau d pada jawaban yang benar! Hal ini membuktikan, gelombang cahaya dapat merambat tanpa memerlukan medium.
Cahaya berasal dari sumber cahaya.
Sifat sifat cahaya materi kelas 4 tema 5 subtema 1 halaman 7. Buku ipa kelas 4 sd dan quipper. Sifat sifat cahaya kelas 4 tema 5 muatan ipa cute766. Soal ipa kelas 4 sd bab energi panas dan energi bunyi dan kunci jawaban bimbel brilian soal teka teki silang tts ipa kelas 4 sd bab 8 energi panas dan bunyi dan kunci.
Source: jektilestari2.blogspot.com
Untuk mengunduh file gunakan tombol download dibawah ini. Sifat cahaya yang terjadi pada peristiwa seperti gambar adalah. Soal ipa kelas 5 sd bab cahaya dan kunci jawaban. Demikianlah bahan ajar online materi ipa kelas 4 tema 5.
Source: nafiun.com
Berilah tanda silang (x) pada huruf a, b, c, atau d pada jawaban yang benar! Top pdf sifat sifat cahaya dan cermin 123dok com. Sifat cahaya yang terjadi pada peristiwa seperti gambar adalah. Perhatikan gambar pemantulan cahaya berikut!
Source: fotokita.grid.id
Dibiaskan, karena cahaya mengenai cermin b. Karena, semakin sering dan semakin banyak kalian mengerjakan soal, maka semakin banyak yang akan kalian ingat. Untuk mengunduh file gunakan tombol download dibawah ini. Dipantulkan, karena cahaya mengenai benda mengkilap c.
Cahaya itu memiliki sifat yang merambat dan lurus.
10 soal ipa tentang sifat cahaya berdasarkan gambar. Hal ini membuktikan, gelombang cahaya dapat merambat tanpa memerlukan medium. Demikianlah bahan ajar online materi ipa kelas 4 tema 5. Cahaya adalah nama yang diberikan manusia pada radiasi yang dapat dilihat oleh mata manusia. Cahaya menurut sumber berasalnya ada 2.
Source: fotokita.grid.id
Soal k13 kls 4 sifat sifat cahaya. Cahaya menurut sumber berasalnya ada 2 macam, yaitu: Benda akan memantulkan cahaya yang mengenainya ke mata kita sehingga benda tersebut dapat terlihat. Cahaya adalah nama yang diberikan manusia pada radiasi yang dapat dilihat oleh mata manusia. Untuk mengunduh file gunakan tombol download dibawah ini.
4 sifat cahaya, materi kelas 4 tema 5.
Cahaya yang berasal dari benda itu. Jika kita berada dalam suatu ruangan yang terdapat sebuah celah, dari luar tampak berkas cahaya masuk ke dalam ruangan. Dipantulkan, karena cahaya mengenai benda mengkilap c. Buku ipa kelas 4 sd dan quipper.
Source: isnaaini.blogspot.com
Soal ipa kelas 5 sd bab cahaya dan kunci jawaban. Yang termasuk pemantulan baur ditunjukkan oleh gambar. Soal ipa kelas 4 sd bab energi panas dan energi bunyi dan kunci jawaban bimbel brilian soal teka teki silang tts ipa kelas 4 sd bab 8 energi panas dan bunyi dan kunci. Cahaya adalah nama yang diberikan manusia pada radiasi yang dapat dilihat oleh mata manusia.
Source: bobo.grid.id
Sifat sifat cahaya materi kelas 4 tema 5 subtema 1 halaman 7 from oriflameid.com. Materi muatan pelajaran ipa kelas 4 : Buku ipa kelas 4 sd dan quipper. Cahaya menurut sumber berasalnya ada 2 macam, yaitu:
Source: jektilestari2.blogspot.com
Cahaya adalah nama yang diberikan manusia pada radiasi yang dapat dilihat oleh mata manusia. Kamis, 14 oktober 2021 18:20 wib. Cahaya menurut sumber berasalnya ada 2 macam, yaitu: Soal ipa kelas 5 sd bab cahaya dan kunci jawaban.
Bayangan orang yang terbentuk di cermin merupakan contoh sifat cahaya, yaitu.
Sifat sifat cahaya ii kelas 4 ii tema 5 ii ipa dubai khalifa from dubaikhalifas.com. Soal ipa kelas 4 tentang sifat cahaya. Sifat sifat cahaya materi kelas 4 tema 5 subtema 1 halaman 7 from oriflameid.com. Materi muatan pelajaran ipa kelas 4 : Berilah tanda silang x pada huruf a b c atau d pada jawaban yang benar.
Source: jektilestari2.blogspot.com
Jawaban tema 5 kelas 4 halaman 8: Bayangan orang yang terbentuk di cermin merupakan contoh sifat cahaya, yaitu. 3 masuknya sinar matahari ke ruangan melalui suatu lubang. Berdasarkan jenisnya, cahaya dibedakan menjadi cahaya yang tampak dan cahaya yang tidak tampak. Cahaya adalah nama yang diberikan manusia pada radiasi yang dapat dilihat oleh mata manusia.
Dibiaskan, karena cahaya mengenai cermin b.
Materi ipa kelas 4 sd mi energi bunyi sumber bunyi dan sifat. Cahaya adalah nama yang diberikan manusia pada radiasi yang dapat dilihat oleh mata manusia. 4 sifat cahaya, materi kelas 4 tema 5. Dibelokkan, karena mengenai permukaan benda.
Source: fotokita.grid.id
Soal ips kls xii proses kebangkitan nasional pilgan soal ips ujian semester 1 kelas 9 smp soal ips semester 2 kls 4 soal ips mwngwnai keadaan ekonomi kelas 9. 1 perhatikan gambar pemantulan cahaya berikut. Cahaya merupakan gelombang eloktromagnetik, yaitu gelombang yang getarannya adalah medan listrik dan medan magnet. Soal ipa kelas 4 tentang bunyi dan kunci jawaban 2021. Soal ipa kelas 5 sd bab cahaya dan kunci jawaban.
Source: khazanahilmu.com
Sifat sifat cahaya ii kelas 4 ii tema 5 ii ipa dubai khalifa from dubaikhalifas.com. Materi ipa kelas 4 sd mi energi bunyi sumber bunyi dan sifat. Soal ipa kelas 4 sd bab 6 sifat dan perubahan wujud benda dan kunci jawaban bimbel brilian Untuk mengunduh file gunakan tombol download dibawah ini. Sifat sifat cahaya materi kelas 4 tema 5 subtema 1 halaman 7 from oriflameid.com.
Source: teamhannamy.blogspot.com
Dibiaskan, karena cahaya mengenai cermin b. Manakah dari gambar di bawah ini yang menunjukkan pembiasan cahaya dari udara ke air. Sifat cahaya sebuah benda dapat dilihat karena adanya cahaya, yang memancar atau dipantulkan dari benda tersebut, yang sampai ke mata. Hal ini membuktikan, gelombang cahaya dapat merambat tanpa memerlukan medium. Soal ipa kelas 4 tentang bunyi dan kunci jawaban 2021.
Situs ini adalah komunitas terbuka bagi pengguna untuk berbagi apa yang mereka cari di internet, semua konten atau gambar di situs web ini hanya untuk penggunaan pribadi, sangat dilarang untuk menggunakan artikel ini untuk tujuan komersial, jika Anda adalah penulisnya dan menemukan gambar ini dibagikan tanpa izin Anda, silakan ajukan laporan DMCA kepada Kami.
Jika Anda menemukan situs ini baik, tolong dukung kami dengan membagikan postingan ini ke akun media sosial seperti Facebook, Instagram dan sebagainya atau bisa juga save halaman blog ini dengan judul soal sifat sifat cahaya kelas 4 dengan menggunakan Ctrl + D untuk perangkat laptop dengan sistem operasi Windows atau Command + D untuk laptop dengan sistem operasi Apple. Jika Anda menggunakan smartphone, Anda juga dapat menggunakan menu laci dari browser yang Anda gunakan. Baik itu sistem operasi Windows, Mac, iOS, atau Android, Anda tetap dapat menandai situs web ini.





